NHẬP MÔN XỬ LÝ ẢNH
Tổng quan về hệ thống xử lý ảnh
Con người thu nhận thông tin qua các giác quan, trong đó thị giác đóng vai trò quan trọng nhất. Những năm trở lại đây với sự phát triển của phần cứng máy tính, xử lý ảnh và đồ hoạ đó phát triển một cách mạnh mẽ và có nhiều ứng dụng trong cuộc sống. Xử lý ảnh và đồ hoạ đóng một vai trò quan trọng trong tương tác người máy.Quá trình xử lý ảnh được xem như là quá trình thao tác ảnh đầu vào nhằm cho ra kết quả mong muốn. Kết quả đầu ra của một quá trình xử lý ảnh có thể là một ảnh “tốt hơn” hoặc một kết luận.
![]() |
| Quá trình xử lý ảnh |
Ảnh có thể xem là tập hợp các điểm ảnh và mỗi điểm ảnh được xem như là đặc trưng cường độ sáng hay một dấu hiệu nào đó tại một vị trí nào đó của đối tượng trong không gian và nó có thể xem như một hàm n biến P(c1, c2,..., cn). Do đó, ảnh trong xử lý ảnh có thể xem như ảnh n chiều.
Sơ đồ tổng quát của một hệ thống xử lý ảnh:
![]() |
| Các bước cơ bản trong một hệ thống xử lý ảnh |
Phần thu nhận ảnh (Image Acquisition)
Ảnh có thể nhận qua camera màu hoặc đen trắng. Thường ảnh nhận qua camera là ảnh tương tự (loại camera ống chuẩn CCIR với tần số 1/25, mỗi ảnh 25 dòng), cũng có loại camera đã số hoá (như loại CCD – Change Coupled Device) là loại photodiot tạo cường độ sáng tại mỗi điểm ảnh.Camera thường dùng là loại quét dòng, ảnh tạo ra có dạng hai chiều. Chất lượng một ảnh thu nhận được phụ thuộc vào thiết bị thu, vào môi trường (ánh sáng, phong cảnh)
Tiền xử lý (Image Processing)
Sau bộ thu nhận, ảnh có thể nhiễu độ tương phản thấp nên cần đưa vào bộ tiền xử lý để nâng cao chất lượng. Chức năng chính của bộ tiền xử lý là lọc nhiễu, nâng độ tương phản để làm ảnh rõ hơn, nét hơn.Nhận dạng và nội suy ảnh (Image Recognition and Interpretation)
Nhận dạng ảnh là quá trình xác định ảnh. Quá trình này thường thu được bằng cách so sánh với mẫu chuẩn đã được học (hoặc lưu) từ trước. Nội suy là phán đoán theo ý nghĩa trên cơ sở nhận dạng. Ví dụ: một loạt chữ số và nét gạch ngang trên phong bì thư có thể được nội suy thành mã điện thoại. Có nhiều cách phân loai ảnh khác nhau về ảnh. Theo lý thuyết về nhận dạng, các mô hình toán học về ảnh được phân theo hai loại nhận dạng ảnh cơ bản:
- Nhận dạng theo tham số.
- Nhận dạng theo cấu trúc.
Một số đối tượng nhận dạng khá phổ biến hiện nay đang được áp dụng trong khoa học và công nghệ là: nhận dạng ký tự (chữ in, chữ viết tay, chữ ký điện tử), nhận dạng văn bản (Text), nhận dạng vân tay, nhận dạng mã vạch, nhận dạng mặt người…
Cơ sở tri thức (Knowledge Base)
Như đã nói ở trên, ảnh là một đối tượng khá phức tạp về đường nét, độ sáng tối, dung lượng điểm ảnh, môi trường để thu ảnh phong phú kéo theo nhiễu. Trong nhiều khâu xử lý và phân tích ảnh ngoài việc đơn giản hóa các phương pháp toán học đảm bảo tiện lợi cho xử lý, người ta mong muốn bắt chước quy trình tiếp nhận và xử lý ảnh theo cách của con người. Trong các bước xử lý đó, nhiều khâu hiện nay đã xử lý theo các phương pháp trí tuệ con người. Vì vậy, ở đây các cơ sở tri thức được phát huy.Mô tả (biểu diễn ảnh)
Ảnh sau khi số hoá sẽ được lưu vào bộ nhớ, hoặc chuyển sang các khâu tiếp theo để phân tích. Nếu lưu trữ ảnh trực tiếp từ các ảnh thô, đòi hỏi dung lượng bộ nhớ cực lớn và không hiệu quả theo quan điểm ứng dụng và công nghệ. Thông thường, các ảnh thô đó được đặc tả (biểu diễn) lại (hay đơn giản là mã hoá) theo các đặc điểm của ảnh được gọi là các đặc trưng ảnh (Image Features) như: biên ảnh (Boundary), vùng ảnh (Region). Một số phương pháp biểu diễn thường dùng:Các vấn đề cơ bản trong xử lý ảnh
* Ảnh và điểm ảnh:Điểm ảnh được xem như là dấu hiệu hay cường độ sáng tại 1 toạ độ trong không gian của đối tượng và ảnh được xem như là 1 tập hợp các điểm ảnh.
* Mức xám, màu
Là số các giá trị có thể có của các điểm ảnh của ảnh
Nắn chỉnh biến dạng
Ảnh thu nhận thường bị biến dạng do các thiết bị quang học và điện tử.
![]() |
| Ảnh thu nhận và ảnh mong muốn |
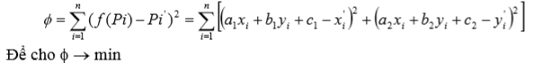
Giả sử (Pi, Pi’) i = 1, n có n tập điều khiển.
Tìm hàm
sao cho
Giả sử ảnh bị biến đổi chỉ bao gồm: Tịnh tiến, quay, tỷ lệ, biến dạng bậc nhất tuyến tính. Khi đó hàm f có dạng:
f (x, y) = (a1x + b1y + c1, a2x + b2y + c2)
Giải hệ phương trình tuyến tính tìm được a1, b1, c1
Tương tự tìm được a2, b2, c2
Xác định được hàm f
Khử nhiễu
Có 2 loại nhiễu cơ bản trong quá trình thu nhận ảnh
• Nhiều hệ thống: là nhiễu có quy luật có thể khử bằng các phép biến đổi
• Nhiễu ngẫu nhiên: vết bẩn không rõ nguyên nhân ->khắc phục bằng các phép lọc
Chỉnh mức xám:
Nhằm khắc phục tính không đồng đều của hệ thống gây ra. Thông thường có 2 hướng tiếp cận:•Giảm số mức xám: Thực hiện bằng cách nhóm các mức xám gần nhau thành một bó. Trường hợp chỉ có 2 mức xám thì chính là chuyển về ảnh đen trắng. Ứng dụng: In ảnh màu ra máy in đen trắng.
•Tăng số mức xám: Thực hiện nội suy ra các mức xám trung gian bằng kỹ thuật nội suy. Kỹ thuật này nhằm tăng cường độ mịn cho ảnh
Trích chọn đặc điểm
Các đặc điểm của đối tượng được trích chọn tuỳ theo mục đích nhận dạng trong quá trình xử lý ảnh. Có thể nêu ra một số đặc điểm của ảnh sau đây:Đặc điểm không gian: Phân bố mức xám, phân bố xác suất, biên độ, điểm uốn v.v..
Đặc điểm biến đổi: Các đặc điểm loại này được trích chọn bằng việc thực hiện lọc vùng (zonal filtering). Các bộ vùng được gọi là “mặt nạ đặc
điểm” (feature mask) thường là các khe hẹp với hình dạng khác nhau (chữ nhật, tam giác, cung tròn v.v..)
Đặc điểm biên và đường biên: Đặc trưng cho đường biên của đối tượng và do vậy rất hữu ích trong việc trích trọn các thuộc tính bất biến được dùng khi nhận dạng đối tượng. Các đặc điểm này có thể được trích chọn nhờ toán tử gradient, toán tử la bàn, toán tử Laplace, toán tử “chéo không” (zero crossing) v.v..
Việc trích chọn hiệu quả các đặc điểm giúp cho việc nhận dạng các đối tượng ảnh chính xác, với tốc độ tính toán cao và dung lượng nhớ lưu trữ giảm xuống.
Nhận dạng
Nhận dạng tự động (automatic recognition), mô tả đối tượng, phân loại và phân nhóm các mẫu là những vấn đề quan trọng trong thị giác máy, được ứng dụng trong nhiều ngành khoa học khác nhau. Tuy nhiên, một câu hỏi đặt ra là: mẫu (pattern) là gì? Watanabe, một trong những người đi đầu trong lĩnh vực này đã định nghĩa: “Ngược lại với hỗn loạn (chaos), mẫu là một thực thể (entity), được xác định một cách ang áng (vaguely defined) và có thể gán cho nó một tên gọi nào đó”. Ví dụ mẫu có thể là ảnh của vân tay, ảnh của một vật nào đó được chụp, một chữ viết, khuôn mặt người hoặc một ký đồ tín hiệu tiếng nói. Khi biết một mẫu nào đó, để nhận dạng hoặc phân loại mẫu đó có thể:Hoặc phân loại có mẫu (supervised classification), chẳng hạn phân tích phân biệt (discriminant analyis), trong đó mẫu đầu vào được định danh như một thành phần của một lớp đã xác định.
Hoặc phân loại không có mẫu (unsupervised classification hay clustering) trong đó các mẫu được gán vào các lớp khác nhau dựa trên một tiêu chuẩn đồng dạng nào đó. Các lớp này cho đến thời điểm phân loại vẫn chưa biết hay chưa được định danh.
Hệ thống nhận dạng tự động bao gồm ba khâu tương ứng với ba giai đoạn chủ yếu sau đây:
1. Thu nhận dữ liệu và tiền xử lý.
2. Biểu diễn dữ liệu.
3. Nhận dạng, ra quyết định.
Bốn cách tiếp cận khác nhau trong lý thuyết nhận dạng là:
1. Đối sánh mẫu dựa trên các đặc trưng được trích chọn.
2. Phân loại thống kê.
3. Đối sánh cấu trúc.
4. Phân loại dựa trên mạng nơ-ron nhân tạo.
Trong các ứng dụng rõ ràng là không thể chỉ dùng có một cách tiếp cận đơn lẻ để phân loại “tối ưu” do vậy cần sử dụng cùng một lúc nhiều phương pháp và cách tiếp cận khác nhau. Do vậy, các phương thức phân loại tổ hợp hay được sử dụng khi nhận dạng và nay đã có những kết quả có triển vọng dựa trên thiết kế các hệ thống lai (hybrid system) bao gồm nhiều mô hình kết hợp.
Việc giải quyết bài toán nhận dạng trong những ứng dụng mới, nảy sinh trong cuộc sống không chỉ tạo ra những thách thức về thuật giải, mà còn đặt ra những yêu cầu về tốc độ tính toán. Đặc điểm chung của tất cả những ứng dụng đó là những đặc điểm đặc trưng cần thiết thường là nhiều, không thể do chuyên gia đề xuất, mà phải được trích chọn dựa trên các thủ tục phân tích dữ liệu.
Nén ảnh
Nhằm giảm thiểu không gian lưu trữ. Thường được tiến hành theo cả hai cách khuynh hướng là nén có bảo toàn và không bảo toàn thông tin. Nén không bảo toàn thì thường có khả năng nén cao hơn nhưng khả năng phục hồi thì kém hơn. Trên cơ sở hai khuynh hướng, có 4 cách tiếp cận cơ bản trong nén ảnh:•Nén ảnh thống kê: Kỹ thuật nén này dựa vào việc thống kê tần xuất xuất hiện của giá trị các điểm ảnh, trên cơ sở đó mà có chiến lược mã hóa thích hợp. Một ví dụ điển hình cho kỹ thuật mã hóa này là *.TIF
•Nén ảnh không gian: Kỹ thuật này dựa vào vị trí không gian của các điểm ảnh để tiến hành mã hóa. Kỹ thuật lợi dụng sự giống nhau của các điểm ảnh trong các vùng gần nhau. Ví dụ cho kỹ thuật này là mã nén *.PCX
•Nén ảnh sử dụng phép biến đổi: Đây là kỹ thuật tiếp cận theo hướng nén không bảo toàn và do vậy, kỹ thuật thướng nến hiệu quả hơn. *.JPG chính là tiếp cận theo kỹ thuật nén này.
•Nén ảnh Fractal: Sử dụng tính chất Fractal của các đối tượng ảnh, thể hiện sự lặp lại của các chi tiết. Kỹ thuật nén sẽ tính toán để chỉ cần lưu trữ phần gốc ảnh và quy luật sinh ra ảnh theo nguyên lý Fractal.
Bài tập cuối bài.
- Nêu các khái niệm cơ bản trong xử lý ảnh?
- Hãy nêu đặc điểm của hệ thống nhận dạng? Liên hệ những với những hệ thống nhận dạng mà anh/ chị biết.
- Cho biết các định dạng ảnh phổ biến hiện nay.






